近日有外媒报导,因对疫情的恐惧以及近些天美国某些州开始复工的原因,美国遗弃宠物的事件在明显增加。这个情节于我们而言并不新鲜。可惜的是尽管专家都在强调“并未发现宠物感染人”,大家也都在努力辟谣,依然有很多人因为恐慌或其他原因弃养自己的宠物。
其实在中国,作为最早爆发出大规模新冠疫情并在疫情防控上做得非常优秀的国家,我们的宠主和专家们对于和人类最亲昵接触的动物——宠物,它们是否会被疫情影响始终抱持着高度关注。
1月29日,疫情刚刚爆发不久,在当晚的《新闻1+1》节目上,主持人白岩松连线中国工程院院士、国家卫健委高级别专家组成员李兰娟,就宠物和疫情的话题开了个头。原话如下:

白岩松:有网友提问,人会传染身边的宠物吗?他担心宠物再传染给别人。
李兰娟:在现在这样传染病流行期间,(宠物)自己的主人要对宠物加强管理……如果你的宠物到外面去跑了,或者接触到疫情了,或者接触到有感染的人了,宠物一样的要监控起来。
白岩松:也就是人有可能传染宠物的,是吗?
李兰娟:因为这个病毒是在哺乳动物之间传播,所以我们对哺乳动物也要加以防备的。这是我们最早在专家口中获得宠物是否会被疫情影响到的内容。尽管当时在疫情防控早期,所有人对这种新型冠状病毒都缺乏了解,李院士从一个医学专家的角度做出了自己的推断,如今看来,其实李院士的话语十分严谨,也并没有表达出“宠物会传播”的结论。可惜问题出在主持人的问话上,于是各路谣言平地而起,揪住这一点不放。而当时又正值最人心惶惶,大家宁可错杀不可放过的时候,于是平添无数被弃养甚至含冤而死的宠物。所以到后来,即使在2月15日,在国务院联防联控机制的新闻发布会上,中华人民共和国科技部社会发展科技司司长吴远彬在回答媒体提问时指出,经过4800例猪、禽、犬、猫等动物样品的检测,均为阴性,可以初步排除新型冠状病毒来源于家禽家畜,但是还是无法完全消除前一波谣言的影响。
异峰突起——香港渔护署发现宠物狗“弱阳性、低程度感染”3月4日,香港渔护署证实一名新冠肺炎确诊者家中的宠物狗在新冠病毒测试中,口鼻和鼻腔样本呈弱阳性反应,“低程度感染有关病毒”。

3月6日,世卫组织(WHO)在召开的例行记者会上,卫生紧急项目执行主任Michael Ryan指出,在新发疾病的暴发中,发现动物被传染上病毒并非什么不寻常的事儿,此前在非典和中东呼吸综合症(MERS)中都有类似案件。“这在新发疾病中一直是个问题,而我们需要回答一个核心问题,即动物是否与这种疾病的传播密切相关,答案是否定的。在这种情况下,与其说是其他角色,不如说这只狗更是一个受害者。”同样,世卫组织紧急事务项目技术主管Maria Van Kerkhove博士也指出,WHO不认为宠物被感染会成为疫情更进一步被广泛传播的推动因素。“从传播角度来说,我们并不认为这会成为新冠病毒传播的主要方式,而且我们也没有证据支持这是人传染给狗,或者狗能传染给人的判断。”

3月11日,爱德士(IDEXX)官方发布在验证针对新冠病毒的最新兽医检测系统期间,评估了几千份犬猫样本,检测结果均未显示SARS-CoV-2呈阳性。3月12日晚,香港渔护署公布了这只狗狗的最消息:该狗只血清检测结果呈阴性,并且免疫系统没有呈较强的免疫反应,简单点说就是无法测量出抗体,因此无法确认狗狗感染新冠病毒。3月26日,香港特区政府发布新闻公告称,该宠物狗的血清报告结果呈阴性反应。
香港的宠物狗案例虽然让所有人吓了一大跳,但是由于他们在检测及公开通报上缺乏足够的严谨,且最终该宠物狗从血清检测上来看并非感染,而仅仅是被传染,所以无波无澜地过去了。
3月27日,比利时公共卫生机构称,该国列日市一只宠物猫确诊新型冠状病毒。比利时当局称,这只宠物猫在主人确诊新冠肺炎后,出现了腹泻、呕吐、呼吸困难等症状,主人将呕吐物和粪便样品送到列日兽医学院丹尼尔·德斯梅希特博士的实验室,后该实验室研究人员在它的粪便检测中发现了新冠病毒。该事件被界定为“这是新型冠状病毒(SARS-CoV-2)的首次人对猫的传播。”4月1日,香港特区政府网站31日发布新闻公报称,香港渔农自然护理署(渔护署)发言人表示,一只混种短毛猫对新冠病毒的测试呈阳性反应。这是香港第三例新冠测试呈阳性反应的动物。4月3日,华中农业大学曾发微博表示其在病毒爆发后收集的102份猫血清中有15份(14.7%)呈阳性,华中农业大学称该研究数据表明,新冠肺炎在爆发期间就已传染武汉的猫群。4月5日,美国纽约当地布朗克斯动物园宣布一只老虎新冠检测呈阳性。该老虎出现了干咳的症状,出现相同状况的还有3只老虎和3只非洲狮。园方对它们进行检测后,美国农业部也对此检测确认。园方称,一名工作人员将新冠病毒传染给这些动物。这些大猫出现了食欲减退,但总体状况良好、正在痊愈。在4月8日,美国《科学》(Science)杂志发表的最新研究中指出:新冠病毒容易感染猫和雪貂,但是对狗、猪、鸡、鸭等家畜的感染力微弱。病毒在其他动物体内复制的数量很少,但在雪貂的上呼吸道、猫的呼吸系统和消化系统内却复制较多。幼猫的感染情形尤为严重。4月23日,美国疾病控制与预防中心(CDC)和美国农业部国家兽医服务实验室报告了首例确诊的新冠感染病例——两只宠物猫。这两只猫分别住在纽约州的两个独立区域,目前都表现出轻度呼吸道疾病症状,有望完全康复。其中一只猫居住家庭有新冠确诊患者,另一只猫的家庭里尚无确诊患者,但兽医认为,病毒可能是由轻症或无症状的家庭成员或者家庭成员与其他感染者接触后传播给这只猫的。
4月26日,荷兰农业部宣布,荷兰境内两座貂养殖场报告貂感染新冠病毒病例,可能是遭感染病毒的养殖场雇员传染。据了解这两座养殖场位于荷兰北布拉班特省埃因霍温。荷兰农业部表示,养殖场的貂出现多种症状,包括呼吸困难。出现症状的貂接受检测,结果显示它们感染新冠病毒。
4月28日,在美国一个北卡罗莱纳州的家庭有多名成员被检测出冠状病毒阳性,并且他们家的狗也被查出感染病毒。据官方介绍,这是美国已知的首例狗感染病毒的病例。
5月2日,法国巴斯德研究所发布新闻公报称,法国多家研究机构参与的调查发现了该国第一只携带新冠病毒的宠物猫。与世界上此前发现的案例一样,这只猫和一名新冠患者曾生活在一起。
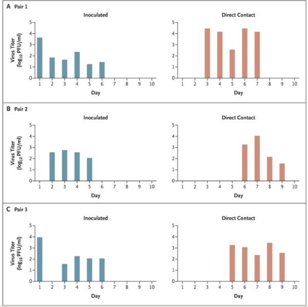
5月13日,日本东京和美国威斯康辛州的一个研究小组做的一项实验室研究,发现了三只感染了COVID-19病毒的猫可以将病毒传播给了另外三只猫,该项研究目前已经发表在《新英格兰医学杂志》(New England Journal of Medicine) 上。在这无数的携带、感染病毒的动物案例的身上,明智的人们肯定早就发现了它们的共性,即都是因为与被感染的人类共处而被传染。且至今为止,无论哪国实验室也并未发现有这些动物传染人类的有效实验证据。所以我们并没有必要为看到哪国又有宠物发现感染的消息而恐慌。随着疫情在全球的扩散,各国有越来越多的科学家参与到新型冠状病毒的研究中来,也有不止一个科学家表示,人类的未来或许是需要慢慢适应与COVID-19共存的未来。人类如此,和我们共同生活的宠物或许也要慢慢适应这样的未来,或许更加自然化的它们已经先我们一步也未可知呢。
新闻来源:宠业家